Упр.235 ГДЗ Никольский Потапов 7 класс (Алгебра)

Решение #1

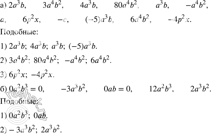
Изображение 235. а) 2a3b, 3a4b2, 4a3b, 80a4b2, a3b, -a4b2, a, 6p2x, -c, (-5)a3b, 6a4b2, -4p2x;6) 0a2b3, -3a3b2, 0ab, 12a2b3,...
Загрузка...

Рассмотрим вариант решения задания из учебника Никольский, Потапов 7 класс, Просвещение:
235. а) 2a3b, 3a4b2, 4a3b, 80a4b2, a3b, -a4b2, a, 6p2x, -c, (-5)a3b, 6a4b2, -4p2x;
6) 0a2b3, -3a3b2, 0ab, 12a2b3, 2a3b2.
*Цитирирование задания со ссылкой на учебник производится исключительно в учебных целях для лучшего понимания разбора решения задания.
*размещая тексты в комментариях ниже, вы автоматически соглашаетесь с пользовательским соглашением