Упр.64 ГДЗ Макарычев Миндюк 9 класс (Алгебра)
Решение #1
Решение #2
Решение #3

Рассмотрим вариант решения задания из учебника Макарычев, Миндюк, Нешков 9 класс, Просвещение:
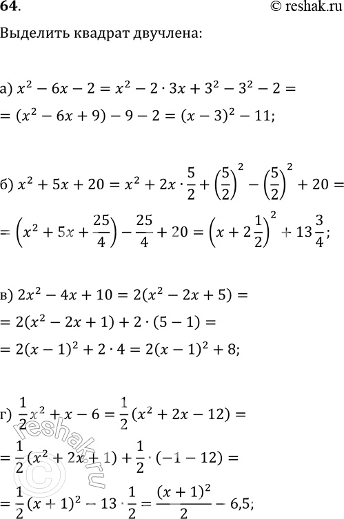
64. Выделите квадрат двучлена из квадратного трехчлена:
а) х2 - 6х - 2;
б) x2 + 5x + 20;
в) 2x2 - 4x + 10;
г) 1х2/2+ х - 6.
*размещая тексты в комментариях ниже, вы автоматически соглашаетесь с пользовательским соглашением