Упр.855 ГДЗ Макарычев Миндюк 9 класс (Алгебра)
Решение #1
Решение #2

Рассмотрим вариант решения задания из учебника Макарычев, Миндюк, Нешков 9 класс, Просвещение:
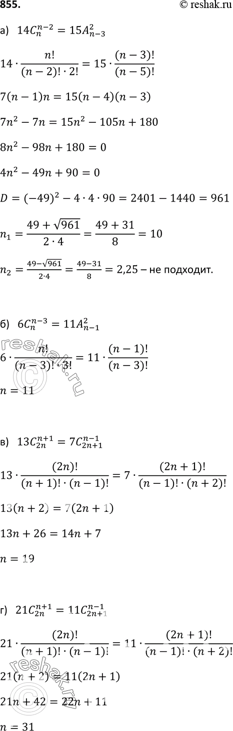
855 Решите уравнение:
а) 14 C (n-2/)n = 15 A 2/(n-3);
6 C (n-3)/n = 11 A 2/(n-1);
13 C (n+1)/2n = 7 C (n-1)/(2n+1);
21 C (n+1)/2n = 11 C (n-1)/(2n+1).
*размещая тексты в комментариях ниже, вы автоматически соглашаетесь с пользовательским соглашением